Ir al contenido principal
Superintendencia de Seguridad Social (SUSESO) - Gobierno de Chile

Compendio de Normas del Seguro Social de Accidentes del Trabajo y Enfermedades Profesionales


CAPÍTULO I. Riesgo técnico

LIBRO VII. ASPECTOS OPERACIONALES Y ADMINISTRATIVOS

TÍTULO IV. Gestión integral de riesgos

B. Gestión específica de los riesgos

CAPÍTULO I. Riesgo técnico

Riesgo técnico

CAPÍTULO I. Riesgo técnico

1. Aspectos generales

Aspectos generales

En la gestión del riesgo técnico, la mutualidad debe monitorear el comportamiento de la mortalidad de los pensionados y de quienes ameritan una reserva. Adicionalmente, debe mantener los equilibrios de riesgo entre los activos y pasivos, producto de los cambios que se susciten en el mercado respecto de las tasas de interés de los instrumentos que respaldan las reservas, con tal de velar por los equilibrios entre el nivel de gasto e ingresos esperado.

Respecto de la mortalidad de los pensionados, la mutualidad debe realizar estudios del comportamiento de la longevidad, con la finalidad de monitorear las desviaciones entre las tablas de mortalidad que se utilicen para la determinación de las reservas y el comportamiento propio de los pensionados de la mutualidad. Además, en el cálculo de reservas por otro tipo de prestaciones, en donde se utilicen factores técnicos, éstos de igual forma serán sujeto de análisis por parte de la mutualidad.

Por otra parte, respecto de la tasa de interés es fundamental que exista un calce entre los activos y pasivos en términos de su duración, con tal de que el portafolio de la mutualidad se mantenga inmunizado ante cambios en la tasa de descuento.

La mutualidad debe remitir a la Superintendencia de Seguridad Social un informe de suficiencia de reservas, aprobado por el directorio, donde se pronuncie respecto al nivel de suficiencia de las reservas constituidas para el año calendario anterior, a más tardar el último día del mes de marzo.

Asimismo, la mutualidad debe establecer e implementar un manual para el cálculo y constitución de reservas, donde se expongan los diferentes criterios utilizados, supuestos, los modelos de cálculos, responsables, periodicidad de revisión del modelo, registro y su contabilización. Además, el referido manual deberá señalar el procedimiento de revisión y actualización, indicando la periodicidad e instancia de la revisión. Estas revisiones deben ser realizadas con un periodicidad de a lo menos una vez al año, debiendo quedar registro de ello.

El manual para el cálculo y constitución de reservas, así como cualquier modificación, debe ser remitido a la Superintendencia de Seguridad Social en un plazo no mayor a 5 días hábiles, contado desde el día siguiente a su aprobación.

En forma específica, es recomendable que la mutualidad contemple en la respectiva política y manual, según corresponda, los siguientes elementos:

  1. Riesgo de tasa de interés técnico

    Metodología y procedimiento explícito que permitan medir el impacto en las reservas técnicas ante cambios en la tasa de interés técnico.
  2. Riesgo de longevidad

    1. Procedimientos explícitos para evaluar permanentemente la suficiencia de sus reservas técnicas y el riesgo de longevidad, cuando corresponda, y medir el grado de exposición del capital de la mutualidad a desviaciones significativas respecto de las estimaciones efectuadas. Dichos procedimientos deben tener una base actuarial y realizarse por personal capacitado y que disponga de los recursos necesarios para ello.

    2. La evaluación de la suficiencia de las reservas técnicas deben efectuarse sobre la base de pruebas retrospectivas (backtesting), como también mediante la estimación de probabilidades asociadas a escenarios de insuficiencia, y al análisis de escenarios de estrés.

    3. Recopilación de información con el objeto de evaluar periódicamente la experiencia de longevidad en relación a la contenida en las tablas de mortalidad utilizadas en los modelos actuariales, con la finalidad de calibrar y gestionar efectivamente su riesgo de longevidad.

    4. Métodos para monitorear el cumplimiento de los procedimientos, metodologías y estrategias de mitigación establecidas.

  3. Riesgo de gestión de siniestros

    1. Desarrollar, documentar e implementar una administración de siniestros efectiva y apropiada así como procedimientos de control, junto con establecer los criterios y metodologías de aprobación o rechazos de accidentes o enfermedades laborales y resolución de disputas, de manera oportuna.

    2. Desarrollar e implementar procedimientos para supervisar y controlar en forma eficaz las reservas.

    3. Una metodología y procedimiento explícito de asignación de costos de las prestaciones médicas otorgadas y una estimación de aquellas por otorgar. Tanto la metodología utilizada como las estimaciones realizadas deben ser revisadas al menos una vez al año y actualizadas cuando se observen cambios que lo ameriten.

2. Medición

Medición

Las mutualidades deben medir e informar periódicamente a la Superintendencia de Seguridad Social respecto de su exposición al riesgo técnico, considerando el riesgo en la tasa de interés técnico, riesgo de longevidad y riesgo de gestión de siniestros.

A continuación se presentan las medidas que se deben utilizar para la medición de cada riesgo. Por lo tanto, las mutualidades deben construir y monitorear al menos los siguientes indicadores:

a) Suficiencia de reserva por pago de pensiones

Este indicador mide el nivel de suficiencia de la reserva por pago de pensiones constituida por la mutualidad respecto al pago efectivo de los distintos tipos de pensiones (invalidez, viudez u orfandad), en un período determinado de 12 meses.

Donde:

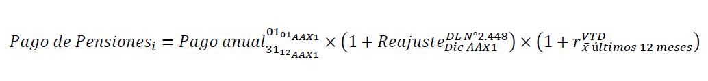
Pago de Pensiones i : Corresponde al monto total de las pensiones pagadas durante el año a los distintos tipos de pensionados (invalidez, viudez u orfandad) por los que se tenía constituida una reserva al inicio del año. Cabe señalar, que los respectivos pagos deberán ser por el total de los beneficios pagados, no tan sólo por aquéllos por los cuales se tuvo previamente constituida la reserva, esto es, pensión base, más el total de los incrementos y más, el total de las bonificaciones pagadas. Además, estos pagos deberán ser actualizados por la variación del IPC definida, según el D.L. N°2.448, de 1978, así como también por la tasa de interés técnico vigente en el mercado, la cual publica mensualmente en su sitio web, la Comisión para el Mercado Financiero de Chile (CMF).

Por ejemplo, para el año AAX1 y para un tipo de pensionados determinado (invalidez, viudez u orfandad) el pago de pensiones corresponderá a la sumatoria de los montos pagados entre el 01.01.AAX1 y el 31.12.AAX1, respecto del colectivo de pensionados por los que se tenía reserva al 01.01.AAX1, debiéndose actualizar tanto por el reajuste que se hace por IPC a las pensiones en el mes de diciembre del año AAX1 (según lo establecido en el D.L. N°2.448, de 1978), como también por la tasa de interés técnico a la fecha de evaluación, la cual corresponde a la tasa equivalente promedio de los últimos 12 meses obtenida a partir del Vector de Tasas de Descuento (VTD), para valorizar pasivos de seguros que publica mensualmente en su sitio web, la Comisión para el Mercado Financiero de Chile (CMF). Esto es:



Reserva de Pensiones Liberada i : Corresponde a la diferencia entre el monto de la reserva existente al inicio del ejercicio por los distintos tipos de pensionados (invalidez, viudez u orfandad) que mantienen pensiones vigentes al final del ejercicio, y el monto de la reserva existente por las mismas pensiones al final del ejercicio. En el caso de los saldos iniciales de reservas, éstos deberán ser actualizados anualmente por la variación del IPC definida, según el D.L. N°2.448, de 1978, como también por la tasa de interés técnico vigente en el mercado.

Por ejemplo, para el año AAX1 y un tipo de pensionados determinado (invalidez, viudez u orfandad) el numerador del indicador se calculará como la liberación de reservas que se reconoce en el periodo comprendido entre el 01.01.AAX1 y el 31.12.AAX1, respecto del colectivo de pensionados por los que se tenía reserva al inicio del periodo, es decir al 01.01.AAXX. Dicha liberación corresponde a la diferencia entre el valor de la reserva al inicio del período (R x-1) y el valor de la reserva al final del período (R x), debiéndose actualizar la reserva de inicio (R x-1), tanto por el reajuste que se hace por IPC a las pensiones en el mes de diciembre del año AAX1 (según lo establecido en el D.L. N°2.448 del Ministerio de Hacienda), como también por la tasa de interés técnico vigente en el mercado. Dicha tasa de interés corresponde a la tasa equivalente promedio de los últimos 12 meses que se obtiene a partir del Vector de Tasas de Descuento (VTD), para valorizar pasivos de seguros que publica mensualmente, en su sitio web, la Comisión para el Mercado Financiero de Chile, es decir:

Donde:

y

b) Suficiencia de reserva por prestaciones médicas

Este indicador mide la suficiencia en la estimación de la reserva por gastos de prestaciones médicas constituida por la mutualidad respecto al gasto médico efectivo, en un período determinado de 12 meses.

Donde:

Gasto por Prestaciones Médicas: Corresponde a aquellos gastos médicos incurridos por la mutualidad durante el año y que conforman el gasto de tratamientos médicos cuya duración superó el umbral de 12 meses, gasto que a su vez, forma parte del ítem FUPEF 42040.

Reserva por Prestaciones Médicas Liberadas: Corresponde a la diferencia entre el monto de reserva de gastos médicos que se tenía al inicio del ejercicio y al final del mismo, cuyos valores se presentan en los ítems del FUPEF 21060 y 22060. Para los efectos de calcular la diferencia en los valores de reservas, deberá tenerse en cuenta que dichas cantidades se encuentran expresadas en diferentes momentos del tiempo.

c) Cumplimiento de tablas

Este indicador mide el porcentaje de mortalidad actual que presentan los beneficiarios, respecto del número de fallecidos teóricos de la tabla de mortalidad utilizada para el cálculo de reservas.

Donde:

Fallecidos Actuales 𝑖: Corresponde al número de fallecidos reales en el período de referencia 𝑖, asociado a la tabla evaluada.

Fallecidos Teóricos 𝑖: Corresponde al número teórico de fallecidos en el período de referencia 𝑖, contenido en la tabla evaluada.

Este indicador debe calcularse para cada tabla de mortalidad i en ejercicio, utilizando información de los últimos 12 meses tanto para el numerador como para el denominador.

d) Gestión de siniestros

Este indicador mide qué proporción del total de resoluciones de incapacidad permanente (REIP) emitidas por las mutualidades reclamadas o apeladas ante la Comisión Médica de Reclamos de Accidentes del Trabajo y Enfermedades Profesionales (COMERE) o la Superintendencia de Seguridad Social (SUSESO), fueron modificadas por alguna de las dos instancias de apelación.

Donde:

Número de REIP modificadas por la COMERE o la SUSESO: Corresponde al número de resoluciones de incapacidad permanente (REIP) emitidas por las mutualidades, que han sido modificadas por la COMERE o la SUSESO, durante un año calendario. Se deben considerar sólo los dictámenes modificatorios de la COMERE o la SUSESO, que se encuentren ejecutoriados. Si una misma REIP ha sido revisada en ambas instancias (COMERE y SUSESO), se debe computar como un solo caso.

Número total de REIP reclamadas o apeladas ante la COMERE o SUSESO: Corresponde al número total de REIP emitidas por las mutualidades, que han sido reclamadas o apeladas ante la COMERE o la SUSESO, según corresponda, en un año calendario. Si una misma REIP ha sido revisada en ambas instancias (COMERE y SUSESO), se debe computar como un solo caso.

3. Pruebas de estrés de riesgo técnico

Pruebas de estrés de riesgo técnico

Las mutualidades deben confeccionar y enviar a la Superintendencia de Seguridad Social pruebas de estrés, las que se recomienda que sean aprobadas por el directorio de la mutualidad.

La elección de los escenarios de estrés es un proceso dinámico que depende de los factores de riesgo que al momento del análisis se estimen como relevantes. Al menos se deben evaluar cualitativa y cuantitativamente los siguientes escenarios:

  1. Aumento de la longevidad de los trabajadores protegidos de la mutualidad.

  2. Disminución en la tasa de interés técnico.

  3. Aumento de la tasa de siniestralidad mensual.

  4. Aumentos en los precios de las prestaciones médicas.

  5. Cambios relevantes en la distribución de perfiles de beneficiarios que impacten en el cálculo de las reservas.

  6. Otras variables importantes que modifiquen la composición de las reservas técnicas.