Ir al contenido principal
Superintendencia de Seguridad Social (SUSESO) - Gobierno de Chile

Compendio de Normas del Seguro Social de Accidentes del Trabajo y Enfermedades Profesionales


CAPÍTULO II. Riesgo de mercado

LIBRO VII. ASPECTOS OPERACIONALES Y ADMINISTRATIVOS

TÍTULO IV. Gestión integral de riesgos

B. Gestión específica de los riesgos

CAPÍTULO II. Riesgo de mercado

Riesgo de mercado

La mutualidad se expone al riesgo de mercado por cambios en la tasa de interés de los instrumentos de renta fija que posee y por cambios en los precios de sus activos de renta variable, debiéndose evaluar el riesgo de mercado de estos activos.

CAPÍTULO II. Riesgo de mercado

1. Aspectos generales

Aspectos generales

Las mutualidades deben contemplar en su gestión de riesgos de mercado los siguientes aspectos:

  1. Una política de inversiones que establezca los objetivos y la estrategia de inversión necesaria para mitigar la exposición al riesgo de mercado. La estrategia de inversión debe ser formulada considerando la relación entre activos y pasivos de la mutualidad, en particular, el nivel de calce en términos de plazos y monedas fijado como objetivo.

  2. Una fijación explícita de las responsabilidades de individuos y comités en la implementación de la estrategia de inversión, y en el monitoreo y control de los riesgos de las inversiones, incluyendo líneas de reporte y delegación de poderes para la autorización de las inversiones, según lo definido por el directorio.

  3. Procedimientos que establezcan cómo son gestionados los activos financieros, considerando los siguientes aspectos:

    1. La metodología de monitoreo del nivel de exposición de la actual estrategia de inversión.

    2. La gestión de inversiones a través de administradores de cartera externos a la mutualidad, si corresponde, y los criterios para la selección de éstos, los límites de inversiones para dicha gestión y los mecanismos por los cuales se monitorea el cumplimiento de estos límites.

    3. Mecanismos de control y monitoreo del cumplimiento de los límites y restricciones establecidos, junto con el procedimiento para reportar a la gerencia general, al comité correspondiente y al directorio, cualquier exceso sobre los límites definidos.

    4. Mecanismos para la revisión y actualización permanente de la estrategia de inversión, y de la implementación y funcionamiento de ésta, incluyendo plazos y alcance de la revisión.

2. Medición

Medición

Las mutualidades deben medir e informar periódicamente a la Superintendencia de Seguridad Social, respecto de su exposición al riesgo de mercado, considerando el riesgo de tasa de interés y el riesgo de cambio de precio de la renta variable. A continuación se presentan las medidas que, al menos, se deben utilizar para la medición de cada riesgo.

a) Medición del riesgo de tasa de interés de mercado

Las mutualidades deben evaluar el riesgo de cambio en las tasas de interés de las inversiones que mantengan en cualquier tipo de bonos, obligaciones u otros instrumentos de renta fija, así como también para el caso de sus pasivos afectos a riesgo de tasa de interés.

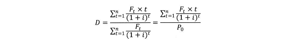
Para ello deben efectuar un análisis de duración o "duration". Este análisis es relevante considerando que el descalce entre los flujos de activos y pasivos, expone a la mutualidad a pérdidas ante la variación de las tasas de interés. Calculando la duración y el monto de activos y pasivos sujetos a cambio en sus valores por variaciones en la tasa de interés, se determinará el grado de exposición de la mutualidad a pérdidas ocasionadas por el cambio de la tasa de interés de mercado.

Para este efecto, se debe calcular el valor actual y la duración de cada uno de los instrumentos de renta fija y de los pasivos afectos a riesgo de tasa de interés. Con la duración individual se determinará la duración de la cartera de inversiones de renta fija y de pasivos financieros de la mutualidad, calculada como el promedio de las duraciones ponderadas por el valor de cada instrumento.

La fórmula para el cálculo de la duración es la siguiente:

Donde:

D: Corresponde a la duración del instrumento.

F t: Corresponde al flujo nominal de fondos en el momento t.

𝑖: Corresponde a la tasa de interés de descuento.

P 0: Corresponde al precio actual del instrumento.

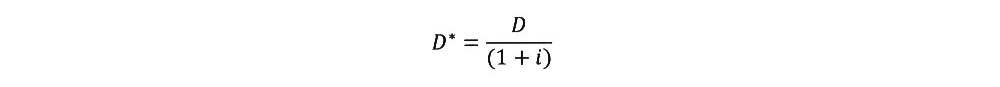
Por otra parte, la duración modificada (D*), cuya fórmula es similar a la anterior, pero dividida por (1+𝑖), es una medida más directa de la reacción porcentual del precio (valor presente) al cambio en la tasa de interés.

La fórmula para el cálculo de la duración modificada es la siguiente:

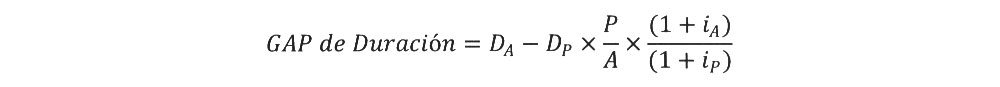
Una vez obtenidas las duraciones de los activos y pasivos afectos a riesgo de tasa de interés, se debe determinar el descalce de activos y pasivos de la mutualidad, a través del cálculo del GAP de Duración, el cual no sólo considera el descalce en plazo, sino también los montos registrados de activos y pasivos sensibles a riesgo de tasas de interés. El GAP de Duración se obtiene de la siguiente forma:

Donde:

D A: Corresponde a la duración de los activos afectos a riesgo tasa de interés.

D P: Corresponde a la duración de la cartera de pasivos afectos a riesgo de tasa de interés.

P: Corresponde al monto total de pasivos afectos a riesgo de tasa de interés.

A: Corresponde al monto total de activos afectos a riesgo de tasa de interés.

𝑖A: Corresponde a la tasa de interés promedio ponderada de la cartera de activos afectos a riesgo tasa de interés.

𝑖P: Corresponde a la tasa de interés promedio ponderada de la cartera de pasivos afectos a riesgo tasa de interés.

Así como una baja de la tasa de interés provoca un aumento en el valor de los pasivos, y con ello una pérdida en el valor del patrimonio, la misma baja de la tasa de interés provoca un aumento en el valor de los activos, lo que significa un aumento compensatorio en el patrimonio. Para saber cuál de los dos efectos primará, deben observarse ambos lados del balance al mismo tiempo.

El impacto final depende tanto del monto (valor presente) de activos y pasivos, como de la duración de ellos. De este modo, se puede observar que el cambio neto del patrimonio es igual a:

Donde:

A: Corresponde al monto total de activos afectos a riesgo de tasa de interés.

P: Corresponde al monto total de pasivos afectos a riesgo de tasa de interés.

D A *: Corresponde a la duración modificada de la cartera de activos afectos a riesgo tasa de interés.

D P * : Corresponde a la duración modificada de la cartera de pasivos afectos a riesgo tasa de interés.

Δ𝑖: Corresponde a la variación de la tasa de interés.

La expresión anterior es equivalente a:

De la ecuación anterior se puede concluir que el GAP de duración, expresado en años, refleja el descalce del balance de la mutualidad, el cual mientras mayor es en términos absolutos, más expuesta está la entidad a variaciones en la tasa de interés.

El segundo término de la ecuación mide el tamaño de los activos de la entidad. Entre mayor sea el tamaño de la mutualidad, mayor será el monto en dinero de la exposición potencial del patrimonio para cualquier variación en la tasa de interés.

Por último, el tercer término de la ecuación representa el tamaño de la variación en la tasa de interés. Entre mayor sea ésta, mayor será la exposición en el patrimonio de la mutualidad.

Al respecto, la mutualidad debe establecer el límite máximo de descalce entre sus activos y pasivos, utilizando el GAP de duración, el que debe estar definido en la respectiva política, y aprobado por el Directorio de la mutualidad. Además, debe calcular periódicamente el potencial cambio en el patrimonio de la entidad, asumiendo probables variaciones en la tasa de interés, utilizando información histórica de los cambios registrados durante a lo menos los últimos 12 meses.

Asimismo, cada mutualidad debe monitorear la evolución de la duración de sus activos y pasivos afectos a riesgo de tasa de interés y el GAP de duración, informando a la Superintendencia de Seguridad Social.

b) Medición del riesgo de cambio de precio de la renta variable

Para la medición del riesgo de cambio de precio de las inversiones en renta variable se debe considerar como factor de riesgo, la volatilidad de los activos que registre la mutualidad en relación con el portafolio de mercado, la que debe ser medida a través del factor "Beta" de cada acción, correspondiente a la covarianza entre el rendimiento del porfolio de mercado (para el caso de acciones chilenas el IPSA) y el rendimiento del activo individual, dividido por la varianza del rendimiento del portafolio de mercado.

El "Beta" de cada acción debe corresponder al informado por los sistemas de información financieros disponibles en el mercado. En el caso de acciones cuyo "Beta" no se encuentre disponible, se debe considerar un valor "Beta" de 1. Para el caso de las inversiones en Fondos Mutuos y Fondos de Inversión, en donde no sea factible obtener el cálculo de dicho "Beta", se debe considerar un valor de 1,5.

La mutualidad debe obtener el "Beta" de la cartera de acciones, de la siguiente forma:

Donde:

βP: Corresponde al índice "Beta" del portafolio de acciones, Fondos Mutuos o Fondos de Inversión de la mutualidad.

βk: Corresponde al índice "Beta" de la acción, Fondo Mutuo o Fondo de Inversión k.

Wk: Corresponde a la proporción invertida en la acción, Fondo Mutuo o Fondo de Inversión k, en relación al monto total de la cartera de acciones.

En la respectiva política la mutualidad debe definir el Beta máximo que podrá registrar la cartera de inversiones, el cual debe estar aprobado por el directorio de la mutualidad.

Asimismo, cada mutualidad debe monitorear periódicamente la evolución del referido factor, informando a la Superintendencia de Seguridad Social el valor del "Beta" de su cartera de inversiones.

3. Pruebas de estrés de riesgo de mercado

Pruebas de estrés de riesgo de mercado

Las mutualidades deben confeccionar y enviar a la Superintendencia de Seguridad Social pruebas de estrés, las que se recomienda que sean aprobadas por el directorio de la mutualidad.

Las pruebas de estrés deben contener una evaluación cualitativa y cuantitativa de los distintos escenarios testeados, considerando al menos los siguientes:

  1. Variación en las tasas de interés utilizadas para valorizar los activos y pasivos afectos a riesgo de tasa de interés que posea la mutualidad.

  2. Un descenso en el valor de mercado de los instrumentos de renta variable que registre la mutualidad.