Compendio de Normas del Seguro Social de Accidentes del Trabajo y Enfermedades Profesionales
B. Reserva por Prestaciones Médicas
LIBRO VIII. ASPECTOS FINANCIERO CONTABLES
TÍTULO I. Reservas Técnicas
B. Reserva por Prestaciones Médicas
Reserva por Prestaciones Médicas
B. Reserva por Prestaciones Médicas
CAPÍTULO I. Aspectos generales
Aspectos generales
Según lo señalado en el artículo 29 de la Ley N°16.744, la víctima de un accidente del trabajo, de trayecto o enfermedad profesional tendrá derecho a las siguientes prestaciones, que se otorgarán gratuitamente hasta su curación completa o mientras subsistan los síntomas de las secuelas causadas por la enfermedad o accidente:
- Atención médica, quirúrgica y dental en establecimientos externos o a domicilio;
- Hospitalización si fuere necesario, a juicio del facultativo tratante;
- Medicamentos y productos farmacéuticos;
- Prótesis y aparatos ortopédicos y su reparación;
- Rehabilitación física y reeducación profesional;
- Los gastos de traslado y cualquier otro que sea necesario para el otorgamiento de estas prestaciones.
Las siguientes instrucciones a las mutualidades de empleadores de la Ley N°16.744, en adelante mutualidades, establecen las directrices y criterios generales que permitan uniformar lo que debe entenderse por "mejor estimación" de la reserva técnica por el gasto en prestaciones médicas por otorgar, con el fin de reconocer la obligación de dichas prestaciones en el largo plazo.
Para tales efectos, el modelo de constitución de reservas que deberán utilizar las mutualidades considera en su formulación el uso de tablas de mortalidad establecidas en el D.L. N°3.500, de 1980, y sus modificaciones en la materia, así como también el uso de tablas de persistencia que se obtienen a partir del comportamiento del gasto histórico en prestaciones médicas. Asimismo, con el objetivo de mantener los valores en términos reales, el modelo considera una variable de reajuste por el nivel de precios de la salud, más el uso de un ahorro en eficiencia que pueda lograrse, y una tasa de descuento para la estimación de los flujos futuros de pago.
Referencias legales: DL 3500
CAPÍTULO II. Expuestos afectos a reserva
Expuestos afectos a reserva
Conforme a lo señalado en la letra d) del número 7, Capítulo II, Letra A, Título IV del Libro VII, la reserva por prestaciones médicas corresponden a las reservas que se constituyen por el reconocimiento de las obligaciones de otorgar prestaciones médicas, hasta su curación completa o mientras subsistan los síntomas de las secuelas causadas por el accidente del trabajo, de trayecto o la enfermedad profesional. Esta responsabilidad surge de los derechos que tienen estos afectados conforme a lo establecido en la Ley N°16.744.
En la constitución de la reserva por prestaciones médicas será considerado como "expuesto afecto a reserva" a todo paciente, sea éste trabajador o ex trabajador, pensionado o ex pensionado protegidos por la Ley N°16.744, que a consecuencia de un accidente o enfermedad quede secuelado o requiera de asistencia permanente con un desembolso de gastos derivados de su condición médica, cuyo gasto sea superior a un año. Para estos efectos, la constitución de la reserva se reconocerá una vez que el expuesto cumpla las 52 semanas continuas de tratamiento, contadas desde la fecha de emisión de la DIAT o de la DIEP.
En particular, respecto a aquellos trabajadores o ex trabajadores que se mantienen en programas de vigilancia de la salud, éstos se considerarán como expuestos, de manera que todos los gastos futuros en que la mutualidad deberá incurrir a causa de la aplicación de estos programas, deberán considerarse en la constitución de la reserva por prestaciones médicas.
Se deberá tener presente que la constitución de la reserva por prestaciones médicas será hecha de manera gradual, incorporando los siguientes grupos, con su respectiva temporalidad:
| Etapa | Grupo | Entrada en vigencia |
| Primera |
Expuestos cuyos tratamientos médicos se llevan a cabo en un horizonte de tiempo de largo plazo |
30 de abril de 2021 |
| Segunda |
Pacientes cuyos tratamientos médicos sean de corto o de mediano plazo |
1 de enero de 2023 |
| Tercera | Expuestos que se encuentran en programas de vigilancia | 1 de enero de 2025 |
CAPÍTULO III. Valoración de las prestaciones médicas
Valoración de las prestaciones médicas
Para efecto de la constitución de la reserva por prestaciones médicas será necesario contar con un criterio único de valoración de las prestaciones médicas que otorga el Seguro de la Ley N°16.744 sobre accidentes del trabajo, de trayecto y enfermedades profesionales, con el fin de que las mutualidades reflejen de manera razonable sus obligaciones y sean comparables entre éstas. Lo anterior, no significa que las prestaciones médicas deban valorarse de acuerdo a un sistema único e igual de costeo entre éstas, sino más bien se deberán reconocer las obligaciones según sea el valor justo de las prestaciones, tomando como referencia los estándares de valoración utilizados por un prestador de salud similar al de las mutualidades.
De acuerdo a los estándares internacionales de contabilidad, el valor de la reserva por prestaciones médicas debe corresponder a la mejor estimación del gasto que se tenga de ella para reconocerla en el balance a la fecha de cierre, esto es, el monto que una mutualidad debería pagar de manera racional para liquidar dicha obligación, o bien para transferírsela a un tercero.
En el caso de que el otorgamiento de las prestaciones médicas por parte de una mutualidad, sea mediante la contratación de un tercero, dicha prestación deberá ser valorizada en términos de su precio de mercado, es decir, de acuerdo al valor representativo de los gastos pagados a los proveedores.
Por el contrario, en el caso de que las prestaciones médicas sean otorgadas en forma directa por la mutualidad, dicha prestación deberá ser valorizada en términos de un costo estándar que se aproxime al valor de mercado, utilizando como mínimo un valor equivalente al definido por el Fondo Nacional de Salud (FONASA), nivel 3.
Ahora bien, para una proyección de flujos futuros representativos, el modelo deberá procurar la mejor estimación posible que permita valorizar los pagos, utilizando para ello como base de referencia el gasto histórico expresado en una misma moneda, según corresponda al tiempo en que se hace la estimación.
CAPÍTULO IV. Elementos para el cálculo de la reserva por prestaciones médicas
Elementos para el cálculo de la reserva por prestaciones médicas
Para la constitución de reserva por prestaciones médicas originadas por un accidente de trabajo, de trayecto o enfermedad profesional, las mutualidades deberán estimar el valor presente de las obligaciones futuras, de manera de reflejar el pasivo de estos compromisos en los respectivos Estados Financieros.
Para ello se deberá considerar el uso de probabilidades para las obligaciones en el pago de las prestaciones médicas en el tiempo, y debido a que los expuestos se encuentran en distintas etapas en la evolución de su tratamiento médico, ya sea por edad o por el grado de invalidez provocado por un accidente o enfermedad profesional, es necesario que el cálculo de estas reservas sea realizado de manera individual para cada uno de los expuestos. De esta forma, la metodología de cálculo de la reserva por prestaciones médicas requiere para las mutualidades, el análisis y/o cálculo de los elementos que se definirán a continuación.
CAPÍTULO IV. Elementos para el cálculo de la reserva por prestaciones médicas
1. Tablas de mortalidad
Tablas de mortalidad
El uso de tablas de mortalidad será necesario para determinar la probabilidad de supervivencia de los expuestos en el horizonte de tiempo en que se proyecta el gasto. En este caso, se deberán utilizar las tablas de mortalidad conforme con la Letra A. Reserva de Pensiones, anterior, es decir, las tablas MI-H-2014, MI-M-2014, CB-H-2014 y B-M-2014, según sea la condición del expuesto; esto es, hombre o mujer, inválido o no inválido.
El uso y periodicidad de estas tablas está sujeto a la actualización de las tablas de mortalidad utilizadas por el régimen de pensiones del DL N°3.500, de 1980, y sus modificaciones, debiéndose tener presente el uso de los factores de mejoramiento establecidos para cada una de ellas. Las tablas de mortalidad referidas serán las que publique la Superintendencia de Pensiones.
Referencias legales: DL 3500
2. Tablas de persistencia
Tablas de persistencia
El uso de tablas de persistencia es necesario para determinar los flujos futuros de gastos por prestaciones médicas. Para la construcción de estas tablas se requiere conocer la distribución de los gastos según sea la duración de los tratamientos. Lo anterior amerita conocer el comportamiento histórico del gasto de los siniestros de forma individual, esto es, desde la fecha de emisión de la DIAT o DIEP, y hasta obtener la curación completa, con tal de lograr la trazabilidad de éstos en el horizonte de tiempo. Para una mejor estimación, es necesario que dichos gastos sean expresados en una misma moneda (por ejemplo, la unidad monetaria UF), según sea la fecha en que se efectúa la estimación de la reserva, y que se utilice la mayor cantidad de períodos de tiempo disponibles para la elaboración de distintas tablas de persistencia. Esto último, se logra a partir de variables relevantes que permitan segmentar la base de datos, tales como la permanencia en tratamientos médicos basados en características comunes, como por ejemplo patologías similares, o bien en función de diferentes grupos etarios que puedan determinarse. Al respecto, se requiere que cada expuesto tenga un diagnóstico/tratamiento principal de cabecera que genere la clasificación en una de las tablas de persistencia, y que origine la reserva.
Cabe hacer presente que, la construcción de las tablas de persistencia requiere de la obtención de factores de consumo del gasto para cada uno de los tramos observados, factores que a su vez son la base de cálculo para la proyección de flujos futuros que conforman la reserva, y que serán aplicados sobre el monto total base del gasto por prestaciones médicas que se detalla en el número 6. Monto total base de gasto, siguiente. La fórmula de cálculo de estos factores de consumo (FCi) es la siguiente:
En este caso, el valor de los fi corresponde al valor porcentual representativo del gasto efectuado en el período "t+1" respecto del gasto efectuado en el período "t" cualquiera, obtenidos de la información histórica que se tenga del total de gasto en prestaciones médicas, desembolsado anualmente para los siniestros, tomando para ello, y como base de referencia, a una o más cohortes de estudio. A modo de ejemplo, f1=Gasto(t+1)/Gasto(0) ; f2=Gasto(t+2)/Gasto(t+1) ; … … ; fn=Gasto(t+n)/Gasto(t+n-1). Del mismo modo, el valor del subíndice "n" dependerá de la duración de cada tabla de persistencia que se analice.
En el caso de que un expuesto sobreviva por más tiempo del definido por la tabla de persistencia asignada, según su diagnóstico/tratamiento principal, entonces éste deberá pasar a formar parte de la siguiente tabla con una duración mayor a la tabla actual, situándolo en algún lugar de la tabla que sea coherente con el tiempo residual del tratamiento que requiera el expuesto. Por el contrario, en caso de que no exista una tabla de mayor duración, el gasto del expuesto deberá provisionarse año tras año, hasta que logre su curación completa, o bien fallezca, constituyendo una reserva igual al monto que correspondería pagar por los últimos 12 meses, según señale la tabla de persistencia. Sin embargo, en el caso de que se actualicen las tablas de persistencia, dicho expuesto deberá ser incorporado en el lugar y tabla que sea la más representativa a su condición de salud.
Por su parte, si un expuesto presenta un agravamiento en su tratamiento principal, el cual genera la clasificación en una de las tablas de persistencia, las mutualidades deberán reevaluar si amerita un cambio de tabla de persistencia, según sea la nueva condición de salud del expuesto.
Si bien se tiene que en la mayoría de los casos el gasto por prestaciones médicas decae a lo largo del tiempo mientras se lleva a cabo el tratamiento de un paciente, se debe tener presente que tratándose de expuestos que puedan presentar gastos permanentes en el tiempo, los factores de consumo para este tipo de tratamientos también deberán mantenerse constante en el tiempo, y hasta su fallecimiento.
En el caso de que no se disponga de la información suficiente para obtener un número amplio de factores de consumo, la estimación de los flujos futuros que conforman la reserva por gasto en prestaciones médicas deberá hacerse en base a la mejor estimación posible que se logre, a partir del comportamiento histórico del gasto. Al respecto, y como solución alternativa a la carencia de datos suficientes que pueda presentar una mutualidad para la construcción de las tablas de persistencia, es necesario que las mutualidades compartan los patrones de comportamiento o trayectorias que pueda seguir el gasto médico. Lo anterior, con el fin de obtener una mayor robustez en la estimación de la reserva. Para ello, la parametrización del modelo deberá ser actualizada en un período de tiempo que no supere los 5 años, debiendo su cálculo ser presentado a través de un estudio actuarial, realizado por un profesional actuario, cuya propuesta deberá ser aprobada por el Directorio de cada mutualidad, y ser remitida a la Superintendencia de Seguridad Social para su aprobación. Para aquellos pacientes definidos como crónicos, dicho estudio actuarial deberá ser presentado antes del 30 de abril de 2021, mientras que para el caso de los pacientes cuyos tratamientos médicos sean de corto y de mediano plazo, éste deberá ser presentado antes del 31 de diciembre de 2022.
3. Tasa de interés técnico
Tasa de interés técnico
La tasa de interés técnico corresponderá a la tasa real de costo capital representativa de la industria de las mutualidades, conforme a las instrucciones que para tal efecto imparta la Superintendencia de Seguridad Social. Cuando entre en vigencia el estándar contable IFRS 17, dichas instrucciones se ajustarán de manera gradual al contenido del referido estándar contable.
4. Tasa de ahorro por eficiencia
Tasa de ahorro por eficiencia
Las mutualidades podrán realizar un ajuste por mejoramientos de procesos, o mejores acuerdos comerciales, mientras demuestren capacidad de ahorro en la evaluación de su planificación anual. Sin embargo, este ahorro no podrá ser en desmedro de la calidad del otorgamiento de las prestaciones médicas. La Superintendencia de Seguridad Social aprobará el uso de dicho ahorro, el que podrá ser aplicado sólo para efectos de determinar el flujo del año siguiente de la reserva a proyectar.
5. Variación de costo de salud
Tasa de ahorro por eficiencia
La variación de costo de salud se define como el porcentaje de reajuste esperado que tendrá el gasto en prestaciones médicas hasta el último período definido en la tabla de persistencia, de acuerdo a la estimación obtenida a partir de las variaciones históricas que experimente el Índice de Precios de la división Salud, publicado mediante la Serie Histórica Empalmada Divisiones, por el Instituto Nacional de Estadísticas (INE), en su sitio web. En virtud que los flujos proyectados están en términos de una misma moneda, este porcentaje de variación corresponde a un incremento real, por lo que la variación del costo de salud corresponde a la variación estimada que se tiene por sobre o por debajo de la variación del Índice de Precios al Consumidor (IPC). Su fórmula es la siguiente:
6. Monto total base de gasto
Monto total base de gasto
El monto total base de gasto corresponde al gasto total incurrido por la mutualidad durante el primer año de tratamiento desde que fue emitida la DIAT o la DIEP, y que sirve como base de cálculo sobre el cual se aplican los factores de consumo que están presentes en las tablas de persistencia. Dicho monto base de gasto debe incluir la totalidad de gasto que se genere bajo el mismo CUN.
CAPÍTULO V. Metodología para el cálculo de la reserva por prestaciones médicas
Metodología para el cálculo de la reserva por prestaciones médicas
A continuación se presentan los lineamientos para el cálculo del monto de la reserva por prestaciones médicas originadas tanto por accidentes de trabajo, de trayecto o enfermedades profesionales, como por programas de vigilancia de la salud.
CAPÍTULO V. Metodología para el cálculo de la reserva por prestaciones médicas
1. Cálculo del monto de la reserva por prestaciones médicas originadas por un accidente de trabajo, de trayecto o enfermedad profesional
Cálculo del monto de la reserva por prestaciones médicas originadas por un accidente de trabajo, de trayecto o enfermad profesional
El cálculo del monto de la reserva por prestaciones médicas deberá realizarse expuesto a expuesto, por cada evento, según sea el CUN o código que lo reemplace, relacionado a éste, y considerando, en primer lugar, la identificación de la tabla de persistencia correspondiente, según sea el tipo de tratamiento principal en que se clasifique. Una vez determinada la tabla de persistencia, se aplicarán los factores de consumo faltantes de dicha tabla al monto total base utilizado para el cálculo de la reserva, según sea el período de tratamiento en que se encuentre el expuesto, con lo cual se obtendrán los flujos de gasto que se desea proyectar. Del mismo modo, y de acuerdo a la edad del expuesto (en términos de años cumplidos), se deberá identificar el factor de la tabla de mortalidad correspondiente, aplicando dicho factor, según sexo y la condición de inválido o no inválido de éste, para efectos de medir la probabilidad de supervivencia. Por último, éstos deberán ponderarse por la variación de costo de salud, la tasa de ahorro por eficiencia y, la tasa de interés técnico. Si bien la parametrización que existe en las tablas de persistencia se actualizará, como máximo, cada cinco años, la periodicidad con la que se reevalúe la reserva será de manera mensual.
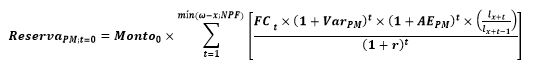
La fórmula del cálculo del monto de reserva por prestaciones médicas se presenta a continuación:
![]()
Donde,
ω : Edad última de la tabla de mortalidad.
x : Edad actual del expuesto al momento de calcular la reserva.
NPF : Número de períodos faltantes por consumir gastos por prestaciones médicas, de acuerdo a la duración de la tabla de persistencia en la que se clasifique.
Monto0 : Monto total base de gasto, según lo señalado en el número 6. del Capítulo IV anterior.
Var PM : Variación de costo de salud, según lo señalado en el número 5. del Capítulo IV anterior.
AE PM : Tasa de ahorro por eficiencias, según lo señalado en el número 4. del Capítulo IV anterior.
FC t : Factor de consumo correspondiente al período "t" utilizado en la proyección de los flujos, según lo señalado en el número 2. del Capítulo IV anterior.
p (x+t-1) : Probabilidad de que un expuesto de edad (x) en un período cualquiera "t-1" sobreviva un período más, según lo señalado en el número 1. del Capítulo IV anterior.
r : Tasa de interés técnico utilizada para la actualización de los flujos futuros, según lo señalado en el número 3. del Capítulo IV anterior.
FA : Factor acumulado que corresponde a la sumatoria de factores utilizados para el cálculo de la reserva.
Nota: En virtud que la edad del expuesto se basa en x años y j meses, deberá realizarse una interpolación lineal de los l x con tal de poder realizar la estimación de flujos, sean éstos mensuales o anuales.
2. Ejemplo Ilustrativo
Ejemplo Ilustrativo
A continuación, se desarrollará un ejemplo ilustrativo del cálculo del monto de la reserva por prestaciones médicas, el cual considerará un período anual para efectos de proyectar los flujos.
Sea el caso de un expuesto, trabajador, que al 31/12/2020 tiene 67 años y 0 mes, de sexo masculino, no inválido, quien está en su séptimo año de tratamiento médico. De acuerdo a la expectativa de su alta médica, aún le quedan 3 años de tratamiento por cumplir. En este caso, las probabilidades de supervivencia se obtienen de la tabla de mortalidad CB-2014. Asimismo, se sabe que el monto total base de gasto por prestaciones médicas incurrido en este expuesto durante los primeros 12 meses, desde la fecha de emisión de su DIAT, asciende a 250 UF, y que durante los próximos 3 años de tratamiento, el gasto en salud crecerá anualmente 0,485% por sobre el índice de precios al consumidor (el IPC anual de salud esperado es igual a 3,5%, mientras que el IPC anual esperado es igual a 3%). Por último, se ha estimado que sólo por el próximo año habrá un ahorro en el gasto en prestaciones médicas igual al 3%, y que la tasa real anual de costo de capital corresponderá al 7%. Por lo tanto, la reserva por prestaciones médicas se calculará teniendo en consideración los siguientes factores:
| Edad | qx | Aax | qx(Aa6) | lx |
| 67 | 0,01392091 | 0,0197 | 0,01235 | 87.438,86 |
| 68 | 0,01552920 | 0,0197 | 0,01378 | 86.358,61 |
| 69 | 0,01730257 | 0,0197 | 0,01536 | 85.168,44 |
| 70 | 0,01926206 | 0,0193 | 0,01714 | 83.860,63 |
* Factores aplicados en la fórmula provenientes de la tabla de mortalidad CB-2014
| f0 | f1 | f2 | f3 | f4 | f5 | f6 | f7 | f8 | f9 |
| 1 | 60,0% | 85,4% | 81,8% | 79,6% | 76,3% | 71,2% | 67,5% | 63,4% | 59,1% |
| FC0 | FC1 | FC2 | FC3 | FC4 | FC5 | FC6 | FC7 | FC8 | FC9 |
| 1 | 60,0% | 51,2% | 41,9% | 33,4% | 25,5% | 18,1% | 12,2% | 7,8% | 4,6% |
* Factores aplicados en la fórmula provenientes de la tabla de persistencia correspondiente a un tratamiento de 10 años

De acuerdo a lo anterior, el valor de la reserva por prestaciones médicas del expuesto asciende a 53,78 UF.
3. Cálculo del monto de la reserva por prestaciones médicas originadas por programas de vigilancia de la salud
Cálculo del monto de la reserva por prestaciones médicas originadas por programas de vigilancia de la salud
Tratándose de la constitución de la reserva por programas de vigilancia de la salud, las mutualidades deberán presentar una metodología de cálculo desarrollada en conjunto, realizado por un profesional actuario, y actualizada en forma periódica, no más allá de cinco años. Cabe hacer presente, que si bien la metodología de cálculo debe ser única, la calibración de los parámetros del modelo deberá ajustarse a la realidad de cada una de las mutualidades. Dicho estudio actuarial deberá ser presentado ante la Superintendencia de Seguridad Social, para su aprobación, a más tardar el 31 de diciembre de 2024.
El modelo adoptado, así como cualquier modificación, deberá ser aprobada por el Directorio de cada mutualidad, y ser remitida a la Superintendencia de Seguridad Social para su aprobación, acompañada por el correspondiente estudio actuarial que lo respalde.
CAPÍTULO VI. Contabilización de la reserva por prestaciones médicas
Contabilización de la reserva por prestaciones médicas
La obligación de constituir reserva por el otorgamiento de prestaciones médicas, y de reflejar ésta en la contabilidad por parte de las mutualidades, será desde el momento en que los tratamientos médicos se extiendan por más allá de 52 semanas desde la fecha de emisión de la DIAT o de la DIEP. De esta forma, contablemente se carga a resultado el monto total de la reserva por prestaciones médicas y se abona en los ítems del pasivo denominado "Reservas por prestaciones médicas por otorgar", códigos 21060 y 22060 del FUPEF-IFRS, de acuerdo a las instrucciones contenidas en el Título IV. del Libro VIII.
Ahora bien, cuando se extingue parte o el total de la obligación por cualquier causa, se abonará al ítem "Variación de la reserva por prestaciones médicas por otorgar", código 42080 del Estado de Resultados por Función, el monto residual de la reserva por prestaciones médicas por otorgar vigentes a la fecha de la extinción de la obligación. A su vez, dicho monto se rebajará de los pasivos en los ítems correspondientes a los códigos 21060 y 22060.
Por su parte, en lo que se refiere a las prestaciones médicas vigentes, cada vez que éstas individualmente experimenten alguna modificación de sus montos por concepto de acrecimiento, decrecimiento, cambios en la condición de salud del expuesto u otras causales, se deberá actualizar el monto de las prestaciones correspondientes, contabilizándose en el estado de resultados estas diferencias, y acreditándose o debitándose en los ítems del pasivo, según corresponda.
CAPÍTULO VII. Constitución y ajustes de la reserva por prestaciones médicas
Constitución y ajustes de la reserva por prestaciones médicas
La reserva por prestaciones médicas de aquellos beneficiaros que cumplan con la definición de expuesto señalada en el Capítulo II. anterior, deberá estimarse aplicando la metodología de cálculo descrita en el Capítulo V. anterior.
Para realizar este reconocimiento, las mutualidades de empleadores dispondrán de un plazo máximo de 40 años.
No obstante, las mutualidades deberán reconocer anualmente el monto que resulte mayor entre el cuarentavo del monto total de la reserva y el 25% del excedente anual que éstas generen en el año respectivo.
Por su parte, la cuota anual que corresponda o monto mayor que la mutualidad decida reconocer, podrá contabilizarse directamente contra la cuenta "Fondos Acumulados del Patrimonio" o bien contra resultados del ejercicio del FUPEF-IFRS, mientras que el flujo anual de nuevas reservas deberá contabilizarse contra resultados del ejercicio del FUPEF-IFRS. La decisión que cada mutualidad tome al efecto, deberá mantenerse durante todo el periodo de reconocimiento.
Dado que las mutualidades deben reconocer ajustes por la reserva de capitales representativos, así como por las prestaciones médicas por otorgar, éstas deberán considerar que en el caso que el reconocimiento sea a través de resultados del ejercicio, la suma de dichos ajustes no podrá exceder el 40% del excedente anual que genere en el año. Lo anterior, deberá ceñirse al siguiente orden de prelación:
-
Ajuste definido en el Capítulo I, Letra A. Reserva de Pensiones, del presente Título I;
-
Ajustes definidos en la letra c), número 4, Capítulo III, Letra A. Reserva de Pensiones, del presente Título I, y
-
Reserva por prestaciones médicas definida en el presente Capítulo VII.
Sin perjuicio de lo señalado en el párrafo anterior, las mutualidades podrán reconocer una cuota anual mayor a la indicada, con el fin de anticipar el reconocimiento de estas reservas.
Las mutualidades deberán proveer a la Superintendencia de Seguridad Social la identificación de los elementos utilizados para el cálculo de la reserva, de acuerdo con las instrucciones contenidas en el Título II. del Libro IX.
