Compendio de Normas del Seguro Social de Accidentes del Trabajo y Enfermedades Profesionales
CAPÍTULO III. Metodología de Cálculo de Capitales Representativos de Pensiones
LIBRO VIII. ASPECTOS FINANCIERO CONTABLES
TÍTULO I. Reservas Técnicas
A. Reserva de Pensiones
CAPÍTULO III. Metodología de Cálculo de Capitales Representativos de Pensiones
Metodología de cálculo de capitales representativos de pensiones
Para la constitución de los capitales representativos de pensiones, es imprescindible que las mutualidades realicen un cálculo preciso del valor presente esperado de las obligaciones futuras con los pensionados, de manera que se asegure el pago de estos compromisos durante todo el periodo de vigencia de la pensión.
El cálculo del monto de capital representativo debe realizarse, pensión a pensión considerando, la edad del pensionado, el monto de pensión anual, incluyendo los suplementos que corresponda, y también el porcentaje de concurrencia de la mutualidad.
CAPÍTULO III. Metodología de Cálculo de Capitales Representativos de Pensiones
1. Fórmula de cálculo del monto de capitales representativos de pensiones
Fórmula de cálculo del monto de capitales representativos de pensiones
Para realizar el cálculo del monto de capitales representativos a constituir, se requiere, en primer lugar, la identificación de la tabla de capitales representativos que corresponde aplicar según el tipo de pensionado. Posteriormente, según la edad del beneficiario (en término de años cumplidos) se aplicará el factor asociado a ella. Este último valor se debe multiplicar por el monto anual vigente de la pensión de que se trata, obteniéndose así, el capital representativo de la misma.
La fórmula del cálculo del monto de capital representativo se presenta a continuación:
Donde,
CR = Monto de Capital Representativo asociado a la pensión.
Fx = Factor de capital representativo a la edad x.
P = Monto mensual de la pensión.
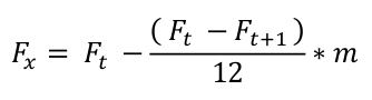
2. Interpolación de factores de capitales representativos de pensiones
Interpolación de factores de capitales representativos de pensiones
En el caso que la edad del pensionado no sea exacta en términos anuales, deberá aplicarse interpolación lineal para realizar el cálculo del factor de capital representativo correspondiente a la edad efectiva del pensionado considerando los meses cumplidos. Para esto se deberá aplicar la siguiente fórmula:
Donde,
Fx = Factor de capital representativo a la edad x (edad a interpolar).
Ft = Factor de capital representativo de la edad cumplida.
F t+1 = Factor de capital representativo de la edad por cumplir.
m = meses cumplidos a la edad x.
De esta forma el factor por el cual deberá multiplicarse el monto anual vigente de la pensión corresponde al factor denominado Fx, el cual representa una aproximación al factor de capitales representativos que debe utilizarse según la cantidad de meses cumplidos después de la edad del pensionado (en años).
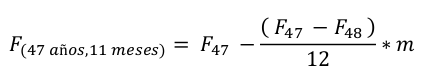
3. Ejemplo Ilustrativo
Ejemplo ilustrativo
A continuación se desarrollará un ejemplo ilustrativo del cálculo del monto de capitales representativos de pensiones.
Un trabajador que sufre un accidente del trabajo, causándole derecho a pensión de invalidez total de $300.000 mensuales y a la fecha de constitución del respectivo monto de capital representativo de la pensión, el causante tenía 47 años y 11 meses de edad.
De acuerdo con lo expuesto en el Capítulo II, anterior, corresponde aplicar los factores definidos en la tabla de capitales representativos MI-H-2014 (por invalidez hombres), donde el factor equivalente a la edad exacta de 47 años es 11,800 y aplicando la interpolación lineal el factor se ajusta de la siguiente manera:
Donde,
F(47 años, 11 meses) = Factor de capital representativo a la edad 47 años 11 meses.
F47 = Factor de capital representativo a la edad 47 años.
F 48 = Factor de capital representativo a la edad 48 años.
m = meses cumplidos a la edad de 47 años.
Reemplazando los valores del ejemplo, tenemos que:
Por lo tanto, la reserva a constituir es de $ 40.903.200 ($300.000 x 12 x 11,362).
Si el causante de esta pensión fallece, dejando un grupo familiar de una viuda de 46 años y 2 meses, una hija de 12 años y un hijo estudiante de 20 años, la mutualidad deberá constituir la reserva de capitales representativos por cada uno de los beneficiarios.
En el caso de la viuda, le corresponderá una pensión de $150.000 mensuales (50% de $300.000) y a cada uno de los hijos una pensión de orfandad de $60.000 mensuales (20% de $300.000).
Conforme a lo establecido en el Capítulo II, anterior, el cálculo del monto de capitales representativos de la pensión de viudez, se deberá realizar utilizando la tabla contenida en el número 3 del artículo 1° del citado D.S. N°25 y aplicarse el factor asociado a la edad 46 años y 2 meses, utilizando la fórmula de interpolación antes descrita. De esta manera, resulta un factor de 24,279 y el capital representativo que la mutualidad deberá constituir para la pensión de viudez es de $43.702.200 ($150.000 x 12 x 24,279).
Por su parte, la tabla de capitales representativos B-M-2014 (por orfandad mujeres) señalada en el número 5 del Capítulo II, anterior, indica un factor de 11,117 para la edad de 12 años y, por tanto, la reserva por la hija será de $8.004.240 ($60.000 x 12 x 11,117).
A su vez, la tabla de capitales representativos CB-H-2014 (por orfandad hombres), contenida en el número 4 del Capítulo II, anterior, indica un factor de 4,701, para la edad de 20 años, con el cual se calcula un monto de capital representativo de $3.384.720 ($60.000 x 12 x 4,701), asociado a la pensión del hijo.
4. Ajustes metodológicos
Ajustes metodológicos
-
Ajustes a la metodología de cálculo de capitales representativos de pensiones de orfandad
Las mutualidades podrán modificar la metodología de cálculo de capitales representativos de pensiones de orfandad, incorporando un ajuste que refleje el comportamiento del colectivo de pensionados de edad entre 18 y 24 años, en relación a su permanencia en estudios secundarios, técnicos o superiores, en concordancia con lo señalado en el artículo 47 de la Ley N°16.744.
El ajuste a la metodología de cálculo de estas reservas deberá ser debidamente fundamentado a través de un estudio actuarial, realizado por un profesional actuario, utilizando estadísticas por un período móvil representativo del comportamiento de los pensionados del artículo 47 de la Ley N°16.744, considerando para ello las cohortes de los últimos cinco años. El ajuste se obtendrá a partir de un promedio ponderado según el número de casos por tramo de edades consideradas en el estudio, el cual deberá ser realizado en conjunto por las mutualidades y debe contemplar un margen de seguridad. Dicho estudio deberá actualizarse cada cinco años.
Para estos efectos, y cumpliendo con lo dispuesto en el artículo 57 del D.S. N°101, las tablas de capitales representativos que deben aplicarse en el caso de pensionados de orfandad con derecho al beneficio hasta el último día del año en que cumplan 18 años deben considerar como último factor distinto de cero el correspondiente a 18 años, en tanto que las tablas de capitales representativos para los pensionados de orfandad mayores de 18 años, con derecho al beneficio hasta el último día del año en que cumplan 24 años de edad, deben considerar como último factor distinto de cero el correspondiente a 24 años.
A continuación, se presentan las tablas de factores que corresponde utilizar en el caso de los pensionados de orfandad con derecho al beneficio hasta el último día del año en que cumplan 18 años, las que complementan a las tablas presentadas en el número 4 y el número 5, del Capítulo II. anterior, y que consideran en su generación el uso de factores de mejoramiento de dos años:
Tabla de Capitales Representativos CB-H-2014 (por orfandad hombres)Edad
Factor
0
15,094
1
14,530
2
13,883
3
13,219
4
12,538
5
11,840
6
11,124
7
10,389
8
9,636
9
8,864
10
8,073
11
7,262
12
6,431
13
5,579
14
4,705
15
3,810
16
2,893
17
1,953
18
0,989
Tabla de Capitales Representativos B-M-2014 (por orfandad mujeres)Edad
Factor
0
15,092
1
14,528
2
13,882
3
13,219
4
12,538
5
11,840
6
11,124
7
10,389
8
9,637
9
8,865
10
8,074
11
7,263
12
6,432
13
5,580
14
4,706
15
3,811
16
2,894
17
1,953
18
0,989
La metodología propuesta deberá ser aprobada por el Directorio de cada mutualidad, quien deberá remitirla a esta Superintendencia de Seguridad Social para su aprobación, acompañando el correspondiente estudio actuarial.
Mientras no se presente la metodología propuesta o no exista un pronunciamiento por parte de esta Superintendencia de Seguridad Social respecto de ella, las mutualidades deberán aplicar los factores de capitales representativos señalados en el número 4 y el número 5, del Capítulo II, anterior, y la metodología de cálculo de capitales representativos de pensiones contenida en el presente Capítulo III.
-
Ajustes a la metodología de cálculo de capitales representativos de pensiones de viudez o madres de hijos de filiación no matrimonial no inválidas menores de 45 años
Las mutualidades podrán ajustar la metodología de cálculo de capitales representativos de pensiones de los viudos o viudas y de las madres de hijos de filiación no matrimonial del causante, cuando se trate de hombres o mujeres no inválidos, menores de 45 años, y sin posibilidad de llegar con derecho a pensión a los 45 años de edad (por lo que no tendrán calidad de beneficiarios de pensión vitalicia), de acuerdo a las siguientes situaciones:-
Viudo o viuda no inválidos o madre de hijos de filiación no matrimonial, donde al momento de originarse la sobrevivencia no hay hijo(s) causante(s) de asignación familiar, y en el transcurso de ese año no cumplirá 45 años de edad.
Para estos efectos, se deberá calcular la proporción lineal de meses faltantes del año para cumplir con el goce de pensión anual que le corresponde. -
Viudo o viuda no inválidos o madre de hijos de filiación no matrimonial, con hijo(s) causante(s) de asignación familiar no inválido(s), la que en diciembre del año en que el hijo menor causante de asignación familiar cumpla 24 años, no tendrá 45 años de edad cumplidos.
Para estos efectos, se deberá calcular la reserva hasta la edad de finalización de su pensión, que será en diciembre del año en que el hijo menor cumplirá los 24 años, o mientras éste sea causante de asignación familiar, en concordancia con las instrucciones señaladas en la letra a) del número 4, del presente Capítulo III, lo cual implica realizar el cálculo de reserva a través de un modelo conjunto entre la edad de la madre y el hijo causante de asignación familiar.
A modo de ejemplo, consideremos una viuda o madre de hijo de filiación no matrimonial que recibe un monto de pensión igual a P, de edad actual x años e i meses, y cuya edad de finalización de la pensión será T años y j meses, donde T < 45, e { i , j } ∈ { 0, ...., 11}. La expresión para el cómputo del capital representativo de pensiones R, hasta una edad de T años y j meses, será:


Donde:
- F hijo menor : factor actuarial utilizado para el cálculo de capital representativo asociado a la pensión de orfandad, según lo señalado en la letra a), del número 4, del presente Capítulo III.
- x y T : están sujetos a la edad actuarial, es decir, en caso de que los meses cumplidos i o j sean mayor o igual a 6, aproximar a x + 1 ó T +1, al momento del cálculo de la reserva.
- s Px : probabilidad de que una viuda de edad x, alcance la edad x+s, siendo esta última, la edad de finalización de la pensión de T años y j meses.
- Para el cálculo de los lx se deberá utilizar la tabla de mortalidad B-2014, o la que la reemplace.
Nota: En el cálculo del factor F hijo menor de la fórmula anterior, para un pensionado de orfandad, y siendo éste causante de asignación familiar, no se considerará la probabilidad de que éste se case o genere ingresos más allá de medio ingreso mínimo, en concordancia con el artículo 5, del DFL N°150, de 1981, del Ministerio del Trabajo y Previsión Social.
Para entender la aplicación de la fórmula anterior, a continuación, se presenta el siguiente ejemplo:
Sea el caso de una madre de afiliación no matrimonial, no inválida, cuya edad al 31 de diciembre del año 2020 es de 35 años y 8 meses (edad actuarial 36 años), que tiene un hijo causante de asignación familiar, de condición no inválido, y cuya edad es de 16 años y 3 meses. En virtud de que en el mes de diciembre del año en que el hijo cumpla 24 años, la madre tendrá 43 años con 8 meses (edad actuarial 44 años), no corresponde que reciba una pensión vitalicia. Por lo tanto, la reserva de capitales representativos será de carácter temporal, y para su determinación se deberá considerar el factor actuarial del hijo, y ponderar éste por la probabilidad de que la madre esté viva a los 44 años. Es decir:

En el caso de un pensionado de orfandad hombre, no inválido, y cuya edad es 16 años y 3 meses, el factor actuarial que deberá utilizarse para la constitución de su reserva de capitales representativos es igual a 5,679. Dicho valor se obtiene a partir del siguiente algoritmo: 2,658 + [(7,857 - 2,658) x 0,581].
Por otra parte, y de acuerdo al uso de la tabla de mortalidad B-M-2014, la cual considera el uso de factores de mejoramiento de 2 años, se tiene que los valores de las variables l44 y l36 son 98.092,41 y 98.646,31, respectivamente, por lo que la probabilidad de que una mujer de 36 años esté viva a los 44 años, se obtiene mediante el cociente (98.092,41/ 98.646,31). Es decir, el valor de dicha probabilidad es igual a 0,99438.
Finalmente, si la pensión mensual de esta pensionada es $350.000, entonces la reserva de capitales representativos que se deberá constituir será igual a [12 x $350.000 x 5,679 x 0,99438 ] = $23.717.753.
-
- Otros ajustes a la metodología de cálculo de capitales representativos de pensiones
Las mutualidades de empleadores deberán constituir o ajustar el cálculo de capitales representativos para todos aquellos beneficios que se han pagado en forma permanente, tales como los siguientes:- Bonificación Ley N°19.403;
- Bonificación Ley N°19.539 y Bonificación Ley N°19.953;
- Aguinaldos por fiestas patrias y navidad, y
- Pensiones ytansitorias que se deban pagar en concordancia con los señalado en el artículo 31 de la Ley N°16.744.
Respecto de la constitución de capitales representativos por los beneficios señalados en el numeral ii) y iii) anterior, ya sea que la mutualidad opte por afectar los resultados del ejercicio del FUPEF-IFRS, o directamente contra el Patrimonio, dicha constitución deberá ser con cargo al Fondo de Contingencia. Cabe hacer presente que, en el caso de los aguinaldos señalados en el numeral iii), el monto mensual que se deberá considerar para constituir la reserva de capitales representativos en cualquier época del año, es aquél que se obtiene luego de dividir por doce el monto anual de aguinaldo por pensionado que establece la Ley en el mes de diciembre de cada año.
En cuanto al numeral iv) precedente, las mutualidades deberán presentar un modelo propio, cuya metodología de cálculo deberá ser debidamente fundamentada a través de un estudio actuarial, realizado por un profesional actuario, utilizando estadísticas por un período de años representativo del comportamiento de los pensionados transitorios del artículo 31 de la Ley N°16.744. Al respecto, cabe hacer presente que, el modelo antes señalado deberá converger a uno que reconozca la obligación desde el momento en que se toma conocimiento del siniestro. La metodología propuesta deberá ser aprobada por el Directorio de cada mutualidad, quien deberá remitirla a la Superintendencia de Seguridad Social para su aprobación, acompañando el correspondiente estudio actuarial. En todo caso, una vez implementado este nuevo modelo, cambios posteriores a la parametrización del modelo que impliquen disminuciones de las reservas constituidas, deberán presentarse a la Superintendencia de Seguridad Social para su aprobación.
Por otra parte, el reconocimiento que corresponda a la Bonificación Ley N°19.403 señalada en el numeral i) precedente, y a las pensiones transitorias señaladas en el numeral iv) precedente, podrán contabilizarse directamente contra la cuenta Fondos Acumulados del Patrimonio, o bien contra resultados del ejercicio del FUPEF-IFRS.
La decisión que cada mutualidad adopte al efecto de cada uno de los numerales anteriores deberá mantenerse durante todo el período de reconocimiento, el que no podrá superar el año 2037, en armonía con lo normado para el reconocimiento de las reservas definidas en el D.S. N°25.
Asimismo, en los casos en que como una buena práctica las mutualidades de empleadores decidan reconocer reservas adicionales a las establecidas en la presente Letra A, por ejemplo, por aplicación de tablas de mortalidad y/o tasas de interés técnico distintas a las señaladas en el Capítulo II de esta Letra A, deberán presentar un informe técnico aprobado por el respectivo directorio para la aprobación de esta Superintendencia.
Todas las modificaciones efectuadas a la metodología de cálculo de capitales representativos deberán ser incorporadas en el "Manual para el Cálculo y Constitución de Reservas" requerido en el Capítulo I. Riesgo técnico, de la Letra B., Título IV, del Libro VII, el que debe ser enviado a esta Superintendencia a través del sistema GRIS, de acuerdo con las instrucciones contenidas en el Título II del Libro IX.".
Referencias legales: DS 101 de 1968 Mintrab, artículo 57 - DS 25 de 2017 Mintrab - Ley 16.744, artículo 47 - Ley 19.403 - Ley 19.539



